(+ 1 2) ; function calls, evaluates to 3 (or a b) ; macro invocations, expands to ; (let ((t a)) (if t t b)) (if false (+ 1 2) (- 1 2)) ; special forms like if
(or a b)
(let ((temp a)) (if temp temp b))
(define-maco (or . body) (cond ((nil? (cdr body)) (car body)) (else (list 'let (list (list 'temp (car body))) (list 'if 'temp 'temp (car (cdr body)))))))
(letrec-syntax ((or (syntax-rules () ((or a) a) ((or a b) (let ((temp a)) (if temp temp b)))))))
> (fold or #f (list #t #f)) Exception: invalid syntax and
> (fold (lambda (a b) (or a b)) #f (list #t #f)) #t
(vau de (a b) (let ((temp (eval a de))) (if temp temp (eval b de))))
> (foldl or false (array true false)) true
(vau dynamicEnv (normalParam1 normalParam2) (body of combiner))
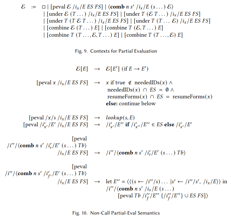
(eval some_code an_environment) --- # Pros and Cons **Pros:** 1. Vau/Combiners unify and make first class functions, macros, and built-in forms in a single simple system 2. They are also much simpler conceptually than macro systems while being hygienic by default **Cons:** 1. The code of the operative combiner (analogus to a macro invocation) is re-executed at runtime, every time it is encountered 2. Additionally, because it is unclear what code will be evaluated as a parameter to a function call and what code must be passed unevaluated to the combiner, little optimization can be done. --- # Background: Fexprs - detail - **Normal Lisp** (Scheme, Common Lisp, etc) - Functions - runtime, evaluate parameters once, return value - Macros - expansion time, do not evaluate parameters, return code to be inlined - Special Forms - look like function or macro calls, but do something special (if, lambda, etc) -- - **Kraken** (and Kernel) - Combiners - Applicatives (like normal functions, combiners that evaluate all their parameters once in their dynamic environment) - Operatives (combiners that do something unusual with their parameters, do not evaluate them right away) --- # Solution: Partial Eval 1. Evaluate parts of program that only depend on statically-known data ahead of time and insert resulting values into generated code 2. The parts of the resulting partially-evaluated program that only contains static references to a subset of built in combiners and functions (combiners that evaluate their parameters exactly once) can be compiled just like it was a normal Scheme program **This is novel! No one has sucessfully pulled this off, to our knowledge.** Why? - Can't use a binding time analysis pass with offline partial evaluation, which eliminates quite a bit of mainline partial evaluation research - Online partial evaluation research generally does not have to deal with the same level of partially/fully dynamic first-class explicit environments --- # Research Contributions - Programming Language, Kraken, that is entirely based on fexprs - Novel Partial Evaluation algorithm - Heavily specialized to optimize away operative combiners like macros written in a specific way - Compiler - Static calls fully optimized like a normal function call in other languages - Dynamic calls have a single branch of overhead - if normal applicative combiner function like call, post-branch optimized as usual - Optimizes away Y Combinator recursion to static recursive jumps (inc tail call opt) - Prototype faster than Python and other interpreted Lisps - Paper: *Practical compilation of Fexprs using partial evaluation* - Currently under review for ICFP '23 --- # Kraken - Entirly based on fexprs as only means of computation - No macros, no special forms, no seperate functions - Not just tacked-on to an existing language, entirely different foundation - Purely Functional - callbacks/monad-like interaction with outside world - In the Lisp tradition --- # Base Language: Syntax $$ \newcommand{\alt} {\mid} \newcommand{\kraken} {\textit{Kraken}} \newcommand{\kprim} [2] {\langle #1~\textbf{#2} \rangle} \newcommand{\kenv} [3] {\langle \langle #1~|#2,~#3 \rangle \rangle} \newcommand{\kcomb} [5] {\langle \textbf{comb} ~ #1 ~ #2 ~ #3 ~ #4 ~ #5\rangle} \newcommand{\keval} [2] {[\text{eval} ~ #1 ~ #2]} \newcommand{\kcombine} [3] {[\text{combine} ~ #1 ~ #2 ~ #3 ]} $$ .mathSize8[ $$ \begin{array}{rcll} n & \in & \mathbb{N} & \text{(Integers)} \\\ s & \in & Symbols & \\\ o & \in & \kprim{1}{eval}, \kprim{0}{vau},\kprim{1}{wrap}, \kprim{1}{unwrap}, & \\\ &&\kprim{0}{if0}, \kprim{0}{vif0}, \kprim{1}{int-to-symbol},&\\\ &&\kprim{1}{symbol?}, \kprim{1}{int?}, \kprim{1}{combiner?},\kprim{1}{env?},&\\\ &&\kprim{1}{array?}, \kprim{1}{len}, \kprim{1}{idx}, \kprim{1}{concat},&\\\ &&\kprim{1}{+}, \kprim{1}{<=} &\text{(Primitives)}\\\ E &:=& \kenv{(s \leftarrow T)\dots}{}{E} \alt \kenv{(s \leftarrow T)\dots}{s' \leftarrow E}{E} & \text{(Environments)}\\\ A &:=& (T \dots)& \text{(Arrays)}\\\ C &:=& \kcomb{n}{s'}{E}{(s\dots)}{T} & \text{(Combiners)}\\\ S &:=& n \alt o \alt E \alt C & \text{(Self evaluating terms)}\\\ V &:=& S \alt s \alt A & \text{(Values)}\\\ T &:=& V \alt AT & \text{(Terms)}\\\ AT &:=& \keval{T}{E} \alt \kcombine{T}{(T\dots)}{E} & \text{(Active terms)}\\\ \end{array} $$ ] --- # Base Language: Contexts $$ \newcommand{\Ctxt} {\mathcal{E}} \newcommand{\InCtxt} [1] {\Ctxt[#1]} $$ .mathSize8[ $$ \begin{array}{rcl} \Ctxt &:=& \square \alt \kcombine{\Ctxt}{(T\dots)}{E} \alt \kcombine{T}{(\Ctxt,T\dots)}{E}\\\ && \alt \kcombine{T}{(T\dots,\Ctxt,T\dots)}{E} \alt \kcombine{T}{(T\dots,\Ctxt)}{E}\\\ \end{array} $$ ] --- # Base: Small-Step Semantics .mathSize8[ $$ \begin{array}{rcl} \InCtxt{E} &\rightarrow& \InCtxt{E'} ~ (\text{if } E \rightarrow E')\\\ \keval{S}{E} &\rightarrow& S\\\ \keval{s}{E} &\rightarrow& lookup(s,E)\\\ \keval{(T_1~T_2\dots)}{E} &\rightarrow& \kcombine{\keval{T_1}{E}}{(T_2\dots)}{E}\\\ \\\ \kcombine{\kcomb{(S~n)}{s'}{E'}{(s\dots)}{Tb}}{(V\dots)}{E} &\rightarrow& \kcombine{\kcomb{n}{s'}{E'}{s}{Tb}}{\\\&&\keval{V}{E}\dots}{E}\\\ \kcombine{\kcomb{0}{s'}{E'}{(s\dots)}{Tb}}{(V\dots)}{E} &\rightarrow& \keval{Tb}{\kenv{(s \leftarrow V)\dots}{s' \leftarrow E}{E'}}\\\ \\\ \kcombine{\kprim{(S~n)}{o}}{(V\dots)}{E} &\rightarrow& \kcombine{\kprim{n}{o}}{(\keval{V}{E}\dots)}{E}\\\ \end{array} $$ ] --- # Base: Selected Primitives .mathSize8[ $$ \begin{array}{rcl} \kcombine{\kprim{0}{eval}}{(V~E')}{E} &\rightarrow& \keval{V}{E'}\\\ \kcombine{\kprim{0}{vau}}{(s'~(s\dots)~V)}{E} &\rightarrow& \kcomb{0}{s'}{E}{(s\dots)}{V}\\\ \kcombine{\kprim{0}{wrap}}{\kcomb{0}{s'}{E'}{(s\dots)}{V}}{E} &\rightarrow& \kcomb{1}{s'}{E'}{(s\dots)}{V}\\\ \kcombine{\kprim{1}{unwrap}}{\kcomb{1}{s'}{E'}{(s\dots)}{V}}{E} &\rightarrow& \kcomb{0}{s'}{E'}{(s\dots)}{V}\\\ \kcombine{\kprim{0}{if0}}{(V_c~V_t~V_e)}{E} &\rightarrow& \kcombine{\kprim{0}{vif0}}{\\\&&(\keval{V_c}{E}~V_t~V_e)}{E}\\\ \kcombine{\kprim{0}{vif0}}{(0~V_t~V_e)}{E} &\rightarrow& \keval{V_t}{E}\\\ \kcombine{\kprim{0}{vif0}}{(n~V_t~V_e)}{E} &\rightarrow& \keval{V_e}{E} ~\text{(n != 0)}\\\ \kcombine{\kprim{0}{int-to-symbol}}{(n)}{E} &\rightarrow& 'sn ~\text{(symbol made out of the number n)}\\\ \kcombine{\kprim{0}{array}}{(V\dots)}{E} &\rightarrow& (V\dots)\\\ \end{array} $$ ] --- # Base Language Summary - This base calculus defined above is not only capable of normal lambda-calculus computations with primitives and derived user applicatives, but also supports a superset of macro-like behaviors via its support for operatives. - All of the advantages listed in the introduction apply to this calculus, as do the performance drawbacks, at least if implemented naively. Our partial evaluation and compilation framework will demonstrate how to compile this base language into reasonably performant binaries (WebAssembly bytecode, for our prototype). --- class: center, middle, title # Slow --- # Partial Eval: How it works Marco expansion kind of *is* partial evaluation! - Online, no binding time analysis - Partially Evaluate combiners with partially-static environments - Prevent infinate recursion by blocking on - Recursive calls underneath a partially evaluated body - Recursive path to *if* - Track call frames that need to be real to progress on every AST node - Can zero-in on areas that will make progress - Also tracks nodes previously stopped by recursion-stopper in case no longer under the frame that stopped the recursion - Evaluate derived calls with parameter values, inline result even if not value if it doesn't depend on call frame --- # Partial Eval Rule Walkthrough --- class: center, middle, title # Optimizations --- # Optimization Adgenda - "The Trick" - handling dynamic calls - Lazy Environment Instantiation - Type-Inference-Based Primitive Inlining - Immediately-Called Closure Inlining - Y-Combinator Elimination --- # "The Trick" (lambda (f) (f (+ 1 2))) To something like function(f): if wrap_level(f) == 1: f(3) else: f([`+ 1 2]) - Insert runtime check for dynamic call sites - When compiling in the wraplevel=1 side of conditional, further partial evaluate the parameter value - Only a single branch of overhead for dynamic function calls *Really a critical part of the dance, not an optional optimization* --- # Lazy Environment Instantiation (lambda (f) (f)) compiled to equivalent of function(f): if uses_env(f): if not env_cache: env_cache = make_env() f(env_cache) else: f() --- # Type-Inference-Based Primitive Inlining For instance, consider the following code: (if (and (array? a) (= 3 (len a))) (idx a 2) nil) - Call to *idx* fully inlined without type or bounds checking - No type information is needed to inline type predicates, as they only need to look at the tag bits. - Equality checks can be inlined as a simple word/ptr compare if any of its parameters are of a type that can be word/ptr compared (ints, bools, and symbols). if is_array(a) and len(a) == 3: *(a+2) else: nil --- # Immediately-Called Closure Inlining Inlining calls to closure values that are allocated and then immediately used: This is partial-evaled (let (b (+ a 2)) (+ b 3)) to this ((wrap (vau (b) (+ b 3))) (+ a 2)) and then inlined (plus lazy environment allocation) b = a + 2; b + 3 --- # Y-Combinator Elimination (Y (lambda (self) (lambda (n) (if (= 0 n) 1 (* n (self (- n 1))))))) - When compiling a combiner, pre-emptive memoization - Partial-evaluation to normalize - Eager lang - extra lambda - eta-conversion in the compiler def fact(n): if n == 0: 1 else: n * fact(n - 1) --- # Outcomes 1. All macro-like combiner calls are partially evaluated away - No downside to using fexprs for everything 2. No interpreted evaluation calls remain 3. Optimizations allow reasonable performance --- # Benchmarks - Fib - Calculating the nth Fibonacci number - RB-Tree - Inserting n items into a red-black tree, then traversing the tree to sum its values - Deriv - Computing a symbolic derivative of a large expression - Cfold - Constant-folding a large expression - NQueens - Placing n number of queens on the board such that no two queens are diagonal, vertical, or horizontal from each other There isn't a standard suite to use here, this was a set we liked from a previosu paper that is relevent for both functional and imperitive languages. --- # Results: Number of eval calls with no partial evaluation for Fexprs .mathSize8[ $$ \begin{array}{||c | c c c c c ||} \hline &Evals & Eval w1 Calls & Eval w0 Calls & Comp Dyn & Comp Dyn\\\ & & & & w1 Calls & w0 Calls\\\ \hline\hline Cfold 5 & 10897376 & 2784275 & 879066 & 1 & 0 \\\ \hline Deriv 2 & 11708558 & 2990090 & 946500 & 1 & 0 \\\ \hline NQueens 7 & 13530241 & 3429161 & 1108393 & 1 & 0 \\\ \hline Fib 30 & 119107888 & 30450112 & 10770217 & 1 & 0 \\\ \hline RB-Tree 10 & 5032297 & 1291489 & 398104 & 1 & 0 \\\ \hline \end{array} $$ ] Number of eval calls in Partially Evaluated Fexprs .mathSize8[ $$ \begin{array}{||c | c c c c c ||} \hline &Evals & Eval w1 Calls & Eval w0 Calls & Comp Dyn & Comp Dyn\\\ & & & & w1 Calls & w0 Calls\\\ \hline\hline Cfold 5 & 0 & 0 & 0 & 0 & 0 \\\ \hline Deriv 2 & 0 & 0 & 0 & 2 & 0 \\\ \hline NQueens 7 & 0 & 0 & 0 & 0 & 0 \\\ \hline Fib 30 & 0 & 0 & 0 & 0 & 0 \\\ \hline RB-Tree 10 & 0 & 0 & 0 & 10 & 0 \\\ \hline \end{array} $$ ] --- # Results: Number of calls to the runtime's eval function for RB-Tree. The table shows the non-partial evaluation numbers -> partial evaluation numbers. .mathSize8[ $$ \begin{array}{||c | c c c c c ||} \hline &Evals & Eval w1 Calls & Eval w0 Calls & Comp Dyn & Comp Dyn\\\ & & & & w1 Calls & w0 Calls\\\ \hline\hline RB-Tree 7 & 2952848 -> 0 & 757932 -> 0 & 233513 -> 0 & 1 -> 7 & 0 -> 0\\\ \hline RB-Tree 8 & 3532131 -> 0 & 906548 -> 0 & 279379 -> 0 & 1 -> 8 & 0 -> 0\\\ \hline RB-Tree 9 & 4278001 -> 0 & 1097965 -> 0 & 3383831 -> 0 & 1 -> 9 & 0 -> 0\\\ \hline \end{array} $$ ] --- # Results: .fullWidthImg[] --- # Results: .fullWidthImg[] --- # Results: .fullWidthImg[] --- # Results: .fullWidthImg[] --- # Results: (log scale) .fullWidthImg[] --- # Results: .fullWidthImg[] --- # Results: .fullWidthImg[] --- # Research Conclusion - Purely functional Lisp based entirely on Fexprs - Kraken - Novel Partial Evaluation algorithm specifically designed to remove all macro-like fexprs - No interpreted evaluation calls remain - Compiler implementing partial evaluation and additional optimizations achiving feasible performance (70,000x+ speedup, etc) *Little to no downside to basing Lisp-like functional language on fexprs* --- # Current & Future - Partial Evaluation / Kraken evolution: - More normal language: purely functional Scheme - More standard Scheme - Environments as association-lists - Fully manipulateable as normal list/pairs - Partial evaluation that supports naturally-written operative combiners, like the running *or* example - Performance: Better Reference Counting, Tail-Recursion Modulo Cons - Implement Delimited Continuations as Fexprs - Implement Automatic Differentiation as Fexprs - Allow type systems to be built using Fexprs, like the type-systems-as-macros paper - Investigate Hardware as Fexprs --- class: center, middle, title # Thank you! --- class: center, middle, title # Backup Slides --- # Partial Eval Semantics: .pull-left[] .pull-right[] --- # Partial Eval Semantics: .pull-left[] .pull-right[] --- # Partial Eval Semantics: .pull-left[] .pull-right[] --- # Background: Fexprs - detail foldr: (rec-lambda recurse (f z l) (if (= nil l) z (lapply f (list (car l) (recurse f z (cdr l)))))) (lapply reduces the wrap-level of the function by 1, equivalent to quoting the inputs) foldr: (rec-lambda recurse (f z l) (if (= nil l) z (f (car l) (recurse f z (cdr l))))) --- # Background: Fexprs - detail All special forms in Kaken are combiners too, and are thus also first class. In this case, we can not only pass the raw _if_ around, but we can make an _inverse_if_ which inverts its condition (kinda macro-like) and pass it around. > (let ((use_if (lambda (new_if) (new_if true 1 2))) (inverse_if (vau de (c t e) (if (not (eval c de)) (eval t de) (eval e de)))) ) (list (use_if if) (use_if inverse_if))) (1 2) What were special forms in Lisp are now just built-in combiners in Kraken. *if* is not any more special than *+*, and in both cases you can define your own versions that would be indistinguishable, and in both cases they are first-class. --- # Solution: Partial Eval 1. Partially evaluate a purely functional version of this language in a nearly-single pass over the entire program 2. Environment chains consisting of both "real" environments with every contained symbol mapped to a value and "fake" environments that only have placeholder values. 4. The parts of the resulting partially-evaluated program that only contains static references to a subset of built in combiners and functions (combiners that evaluate their parameters exactly once) can be compiled just like it was a normal Scheme program --- # Intuition Macros, especially *define-macro* macros, are essentially functions that run at expansion time and compute new code from old code. This is essentially partial evaluation / inlining, depending on how you look at it. It thus makes sense to ask if we can identify and partial evaluate / inline operative combiners to remove and optimize them like macros. Indeed, if we can determine what calls are to applicative combiners we can optimize their parameters, and if we can determine what calls are to macro-like operative combiners, we can try to do the equivalent of macro expansion. For Kraken, this is exactly what we do, using a specialized form of Partial Evaluation to do so. --- # Selected Explanations .mathSize9[ - \\(\kprim{0}{eval}\\): evaluates its argument in the given environment. - \\(\kprim{0}{vau}\\): creates a new combiner and is analogous to lambda in other languages, but with a "wrap level" of 0, meaning the created combiner does not evaluate its arguments. - \\(\kprim{0}{wrap}\\): increments the wrap level of its argument. Specifically, we are "wrapping" a "wrap level" n combiner (possibly "wrap level" 0, created by *vau* to create a "wrap level" n+1 combiner. A wrap level 1 combiner is analogous to regular functions in other languages. - \\(\kprim{0}{unwrap}\\): decrements the "wrap level" of the passed combiner, the inverse of *wrap*. - \\(\kprim{0}{if}\\): evaluates only its condition and converts to the \\(\kprim{0}{vif}\\) primitive for the next step. It cannot evaluate both branches due to the risk of non-termination. - \\(\kprim{0}{vif}\\): evaluates and returns one of the two branches based on if the condition is non-zero. - \\(\kprim{0}{int-to-symbol}\\): creates a symbol out of an integer. - \\(\kprim{0}{array}\\): returns an array made out of its parameter list. ] --- # Less Interesting Prims .mathSize9[ - \\(\kcombine{\kprim{0}{type-test?}}{(A)}{E}\\): *array?*, *comb?*, *int?*, and *symbol?*, each return 0 if the single argument is of that type, otherwise they return 1. - \\(\kcombine{\kprim{0}{len}}{(A)}{E}\\): returns the length of the single array argument. - \\(\kcombine{\kprim{0}{idx}}{(A~n)}{E}\\): returns the nth item array A. - \\(\kcombine{\kprim{0}{concat}}{(A~B)}{E}\\): combines both array arguments into a single concatenated array. - \\(\kcombine{\kprim{0}{+}}{(A~A)}{E}\\): adds its arguments - \\(\kcombine{\kprim{0}{<=}}{(A~A)}{E}\\): returns 0 if its arguments are in increasing order, and 1 otherwise. ] --- # Results: .pull-left[] .pull-right[] --- # Introduction Here's some test code: .run_container[ ; Of course (println "Hello World") ; Just print 3 (println "Math workssss:" (+ 1 2 4)) ] -- .rerun_container[ output here... Rerun ]
(lambda (f) (f (+ 1 2)))
function(f): if wrap_level(f) == 1: f(3) else: f([`+ 1 2])
(lambda (f) (f))
function(f): if uses_env(f): if not env_cache: env_cache = make_env() f(env_cache) else: f()
(if (and (array? a) (= 3 (len a))) (idx a 2) nil)
if is_array(a) and len(a) == 3: *(a+2) else: nil
(let (b (+ a 2)) (+ b 3))
((wrap (vau (b) (+ b 3))) (+ a 2))
b = a + 2; b + 3
(Y (lambda (self) (lambda (n) (if (= 0 n) 1 (* n (self (- n 1)))))))
def fact(n): if n == 0: 1 else: n * fact(n - 1)
foldr: (rec-lambda recurse (f z l) (if (= nil l) z (lapply f (list (car l) (recurse f z (cdr l))))))
foldr: (rec-lambda recurse (f z l) (if (= nil l) z (f (car l) (recurse f z (cdr l)))))
> (let ((use_if (lambda (new_if) (new_if true 1 2))) (inverse_if (vau de (c t e) (if (not (eval c de)) (eval t de) (eval e de)))) ) (list (use_if if) (use_if inverse_if))) (1 2)
output here...